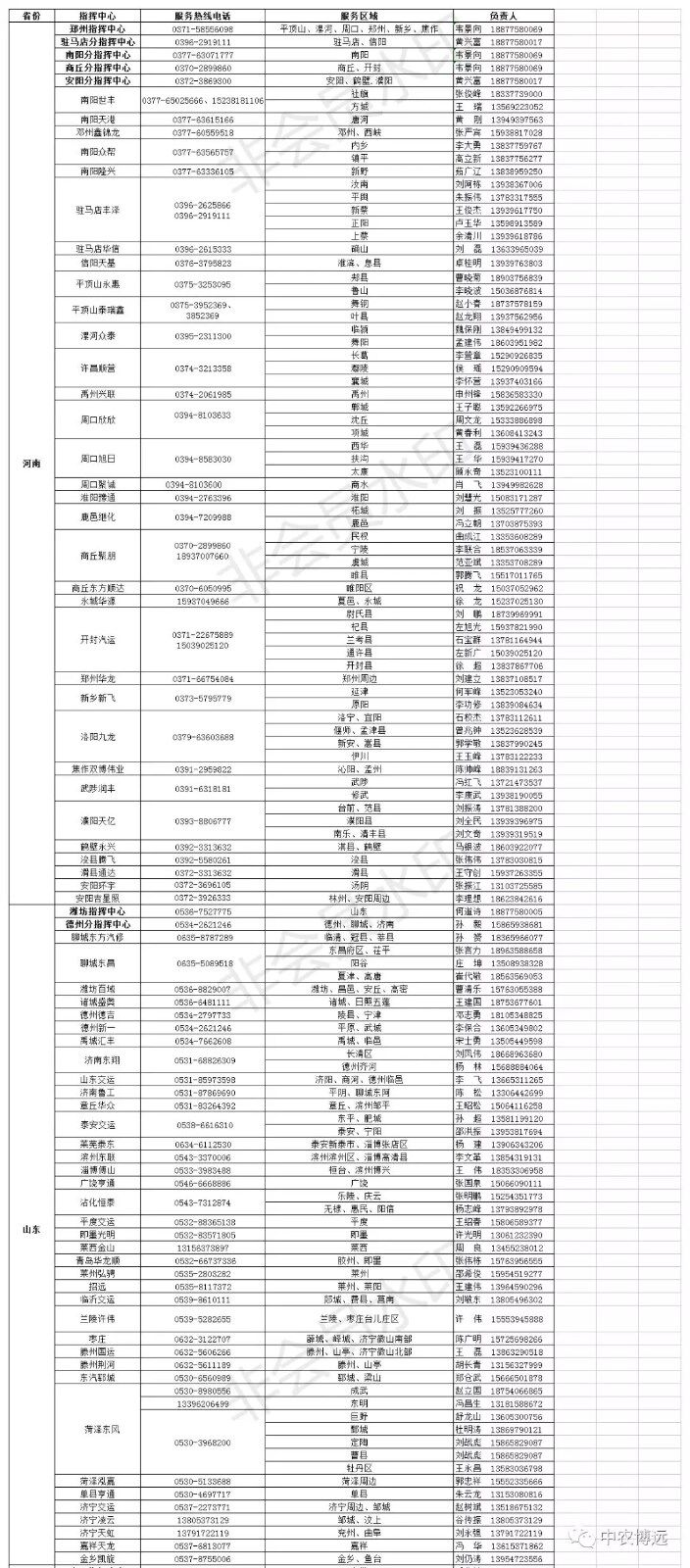
2018中农博远秋收售后服务区域负责人一览表

发布时间:2018-09-22

640.gif

秋收已经到了,为及时提供售后服务工作,现将全国各区域中农博远售后服务点及负责人联系方式公布。

华北大区640.webp (8).jpg

豫南地区640.webp (9).jpg

豫北地区640.webp (10).jpg

苏皖地区640.webp (11).jpg

山东地区640.webp (12).jpg

宁蒙西地区640.webp (13).jpg

山陕甘地区640.webp (14).jpg

辽蒙东地区640.webp (15).jpg

吉黑地区640.webp (16).jpg

各区电工分布640.webp (17).jpg

各区玉柴服务体系

各区潍柴服务体系

640.webp (2).jpg

推荐阅读
更多